Off-axis parabolic (OAP) mirrors are indispensable for achieving precise focus in high-performance optical systems. The design specifications of these mirrors play a crucial role in determining both the cost and performance of the systems they are integrated into. This article outlines the essential considerations for OAP mirror design, covering aspects such as geometry, material selection, and alignment features.
Off-axis parabolic mirrors (OAP mirrors) are crucial components in advanced optical systems, providing precise focal points for collimated light beams. Understanding and optimizing their design specifications is essential for ensuring both cost-effectiveness and high performance.
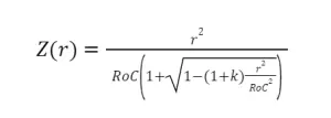
The geometry of an OAP mirror is fundamental to its design and performance. The “sag” or z-coordinate of the standard surface is given by the equation:

where:
For OAP mirrors, where k=−1k=−1, the equation simplifies to:

The aperture of the beam, whether circular or square, is typically oriented along the Z-axis. Depending on the off-axis angle, the aperture on the mirror’s surface may appear elliptical or rectangular.
Selecting the right material for OAP mirrors is crucial for balancing cost and performance. OAP mirrors can be manufactured from a variety of materials, including metals (using single-point diamond turning), glass, and specialized ceramics like SiC. Each material has its unique advantages and cost implications. Shanghai Optics’ application engineers provide expert assistance in choosing the most suitable material and ensuring optimal surface quality for your specific needs.
For optics with large off-axis angles or apertures, a non-wedge design can offer a more cost-effective solution. In such designs, specifying a tilt angle relative to the parent Z-axis can enhance performance and reduce costs.
Shanghai Optics offers a range of coating options tailored to the chosen material. These coatings include:
Incorporating built-in alignment features into the design of OAP mirrors is essential for facilitating seamless integration into optical systems. Shanghai Optics’ application engineers guide the definition of manufacturing and metrology-friendly alignment features, ensuring precise and efficient assembly.
By carefully considering the geometry, material selection, and alignment features of OAP mirrors, designers can significantly enhance the performance and cost-effectiveness of high-performance optical systems. Shanghai Optics’ comprehensive support and expertise ensure that each OAP mirror is optimized for its specific application, delivering superior results and reliability.
Contact Shanghai Optics today! We’d be more than happy to discuss your projects and how to best bring them to fruition.